• Предмет: Математика
  • Автор: nnewdiks
  • Вопрос задан 8 лет назад

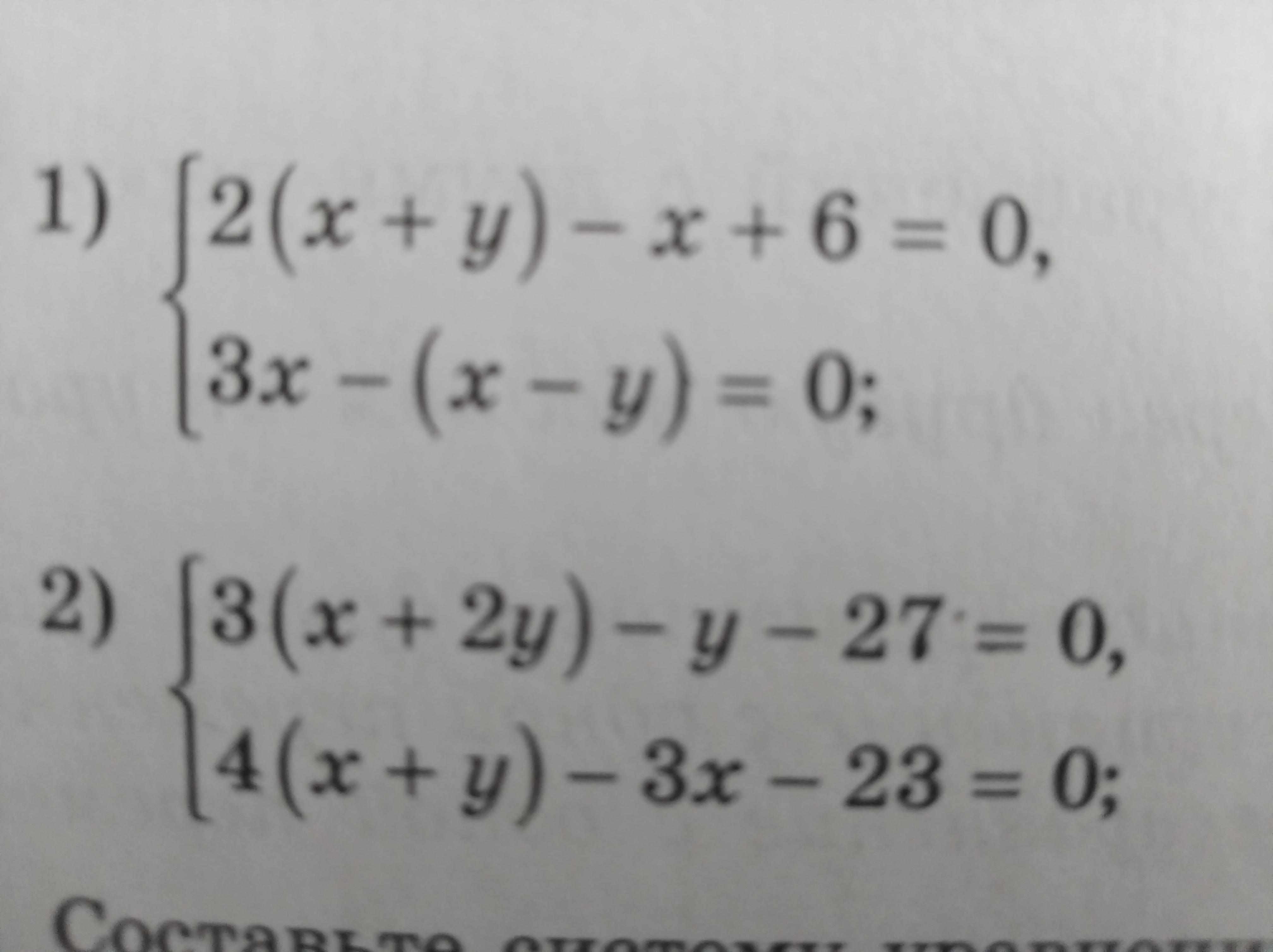
Помогите плз СРОЧНО. Пожалуйста помогите решить примеры срочно

Приложения:

Ответы

Ответ дал: Savva912
0

Ответ:

(2;-4) (-1;6)

Пошаговое объяснение:

x=-2y-6

3(-2y-6)-(-2y-6-y)=0

y=-4

x=-2×(-4)-6

x=2

4(- 5/3y +9+y)-3(-5/3y+9)-23=0

y=6

x=-5/3×6+9

x=-1

Вас заинтересует