• Предмет: Алгебра
  • Автор: k0skostin
  • Вопрос задан 8 лет назад

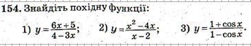
Помогите пожалуйста 50 баллов за выполнение.

Приложения:

Ответы

Ответ дал: anel2602
0

Ответ:

ты даёшь 8 баллов, а не 50 баллов

Вас заинтересует