• Предмет: Алгебра
  • Автор: k0skostin
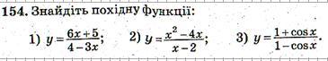
  • Вопрос задан 8 лет назад

30 баллов за решение, срочно.

Приложения:

Ответа на этот вопрос пока нет. Попробуйте найти его через форму поиска.

Вас заинтересует