15 баллов за краткое условие+ решение + ответ
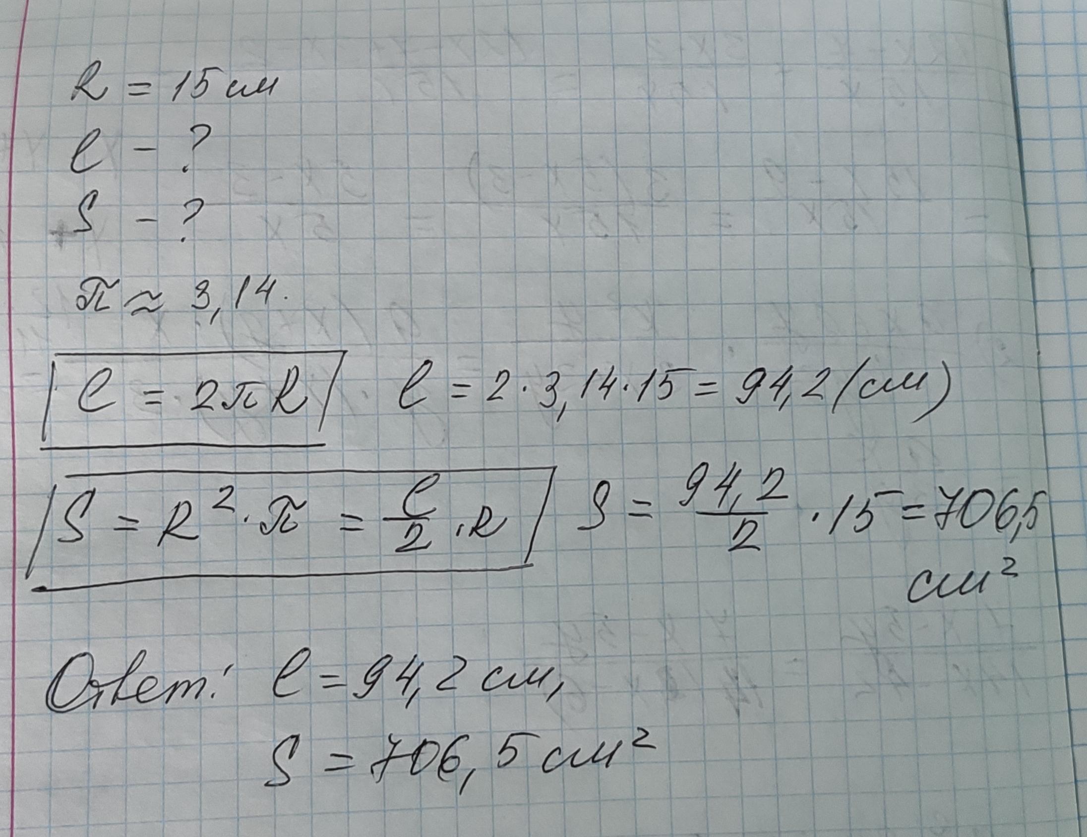
Радиус окружности равен 15 см. Вычислите приближенно длину окружности и площадь
ограниченного ею круга, считая π≈3,14
Ответы
Ответ дал:
0
Ответ:Длина 94,2 см
Площадь 706,5 кв см
Пошаговое объяснение:
Приложения:
Вас заинтересует
2 года назад
2 года назад
3 года назад
3 года назад
9 лет назад
9 лет назад
10 лет назад