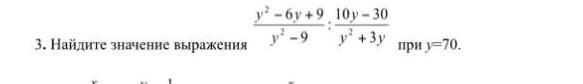
найдите значение выражения умоляю помогите пожалуйста умоляю помогите пожалуйста умоляю помогите пожалуйста умоляю помогите пожалуйста умоляю помогите пожалуйста умоляю помогите пожалуйста умоляю помогите пожалуйста умоляю помогите пожалуйста умоляю
Приложения:

Ответы
Ответ дал:
0
Ответ:
Я хз правильно ли это, но я так сделал.
Пошаговое объяснение:
Приложения:

Ответ дал:
0
спасибо большое
Вас заинтересует
2 года назад
2 года назад
3 года назад
3 года назад
8 лет назад