• Предмет: Математика
  • Автор: makschernakov75
  • Вопрос задан 8 лет назад

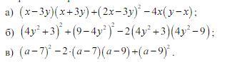
Пожалуйста распишите все! Даю 80 баллов

Приложения:

Ответы

Ответ дал: Savva912
0

Ответ:

9x2-16xy

12^2 или 144

2^2 или 4

Пошаговое объяснение:

вот так и получилось

Вас заинтересует