• Предмет: Математика
  • Автор: stephanieandriyevska
  • Вопрос задан 8 лет назад

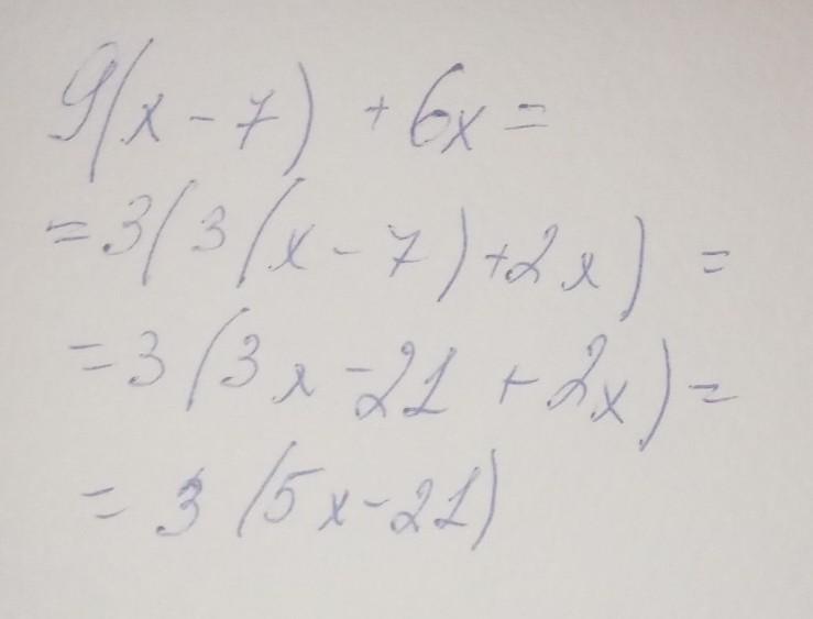
Помогите пожалуйста решить 9×(x-7)+6x

Ответы

Ответ дал: Maша111
0

Ответ на фотографии

......

Приложения:
Ответ дал: NicaNess
0

может быть там есть значение х в книге

Приложения:
Вас заинтересует