• Предмет: Алгебра
  • Автор: lizamorozova2002
  • Вопрос задан 8 лет назад

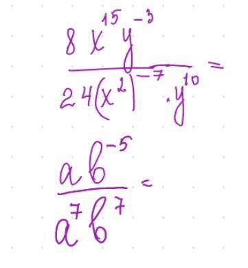
решить умоляю буду очень благодарна дам больше

Приложения:

Ответа на этот вопрос пока нет. Попробуйте найти его через форму поиска.

Вас заинтересует