• Предмет: Математика
  • Автор: lisovaana18
  • Вопрос задан 8 лет назад

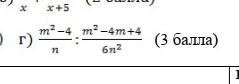
выполните действия Г) т² -4/п : т² - 4т+4/6п²​

Приложения:

Ответа на этот вопрос пока нет. Попробуйте найти его через форму поиска.

Вас заинтересует