• Предмет: Алгебра
  • Автор: wudmen007
  • Вопрос задан 8 лет назад

Помогите пожалуйста! Заранее спасибо)

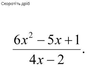
Приложения:

Ответы

Ответ дал: vitaloverplay
0

Ответ:

1. x•(x-3)•(x-6)

2. 3x-1

2

3. x=-9

Вас заинтересует