• Предмет: Математика
  • Автор: sakovleva524
  • Вопрос задан 8 лет назад

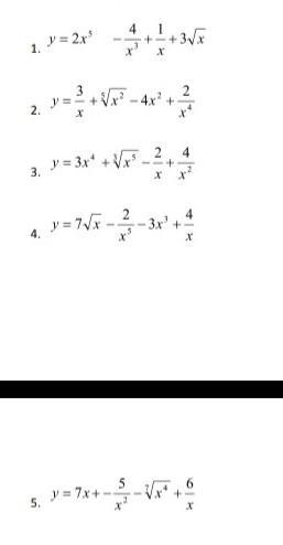
помогите помогите помогите​

Приложения:

Ответы

Ответ дал: yakubetsyana
0

Ответ:

Это просто................ Оченьььььь

Вас заинтересует