Дати відповідь на запитання:
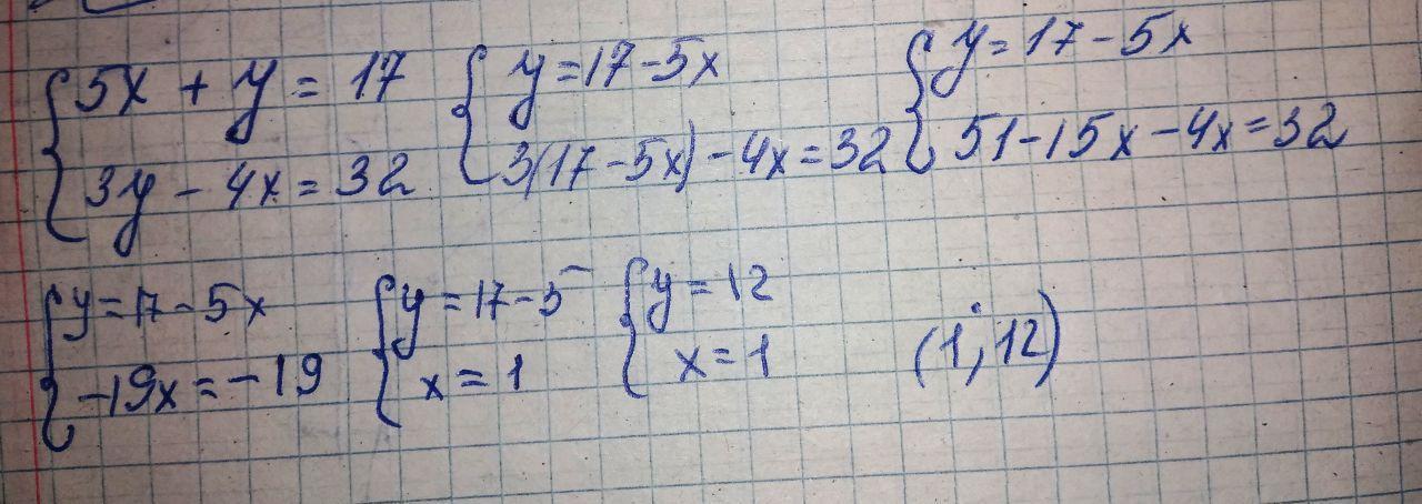
Як не виконуючи побудов, знайти координати точки перетину графіків
рівнянь 5х + у = 17 і 3у – 4х = 32.
Ответы
Ответ дал:
0
Ответ:
Объяснение:
системой решать
Приложения:

Вас заинтересует
2 года назад
3 года назад
8 лет назад
9 лет назад