• Предмет: Алгебра
  • Автор: mmishko
  • Вопрос задан 8 лет назад

ПОМОГИТЕ С АЛГЕБРОЙ!!! ДАЮ 10 БАЛЛОВ!!!

Приложения:

Ответы

Ответ дал: spiderg
0

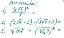
1) frac{(2sqrt3)^2}5=frac{4*3}5=frac{12}5=2,4

2) (2sqrt7-3)(2sqrt7+3)=(2sqrt7)^2-3^2=28-9=19

3) sqrt{121}+(sqrt{2,9})^2=11+2,9=13,9

Ответ дал: mmishko
0
Спасибо. А вы можете мне сделать вот это: https://znanija.com/task/36445942
Вас заинтересует