• Предмет: Алгебра
  • Автор: ivanafanasev178
  • Вопрос задан 8 лет назад

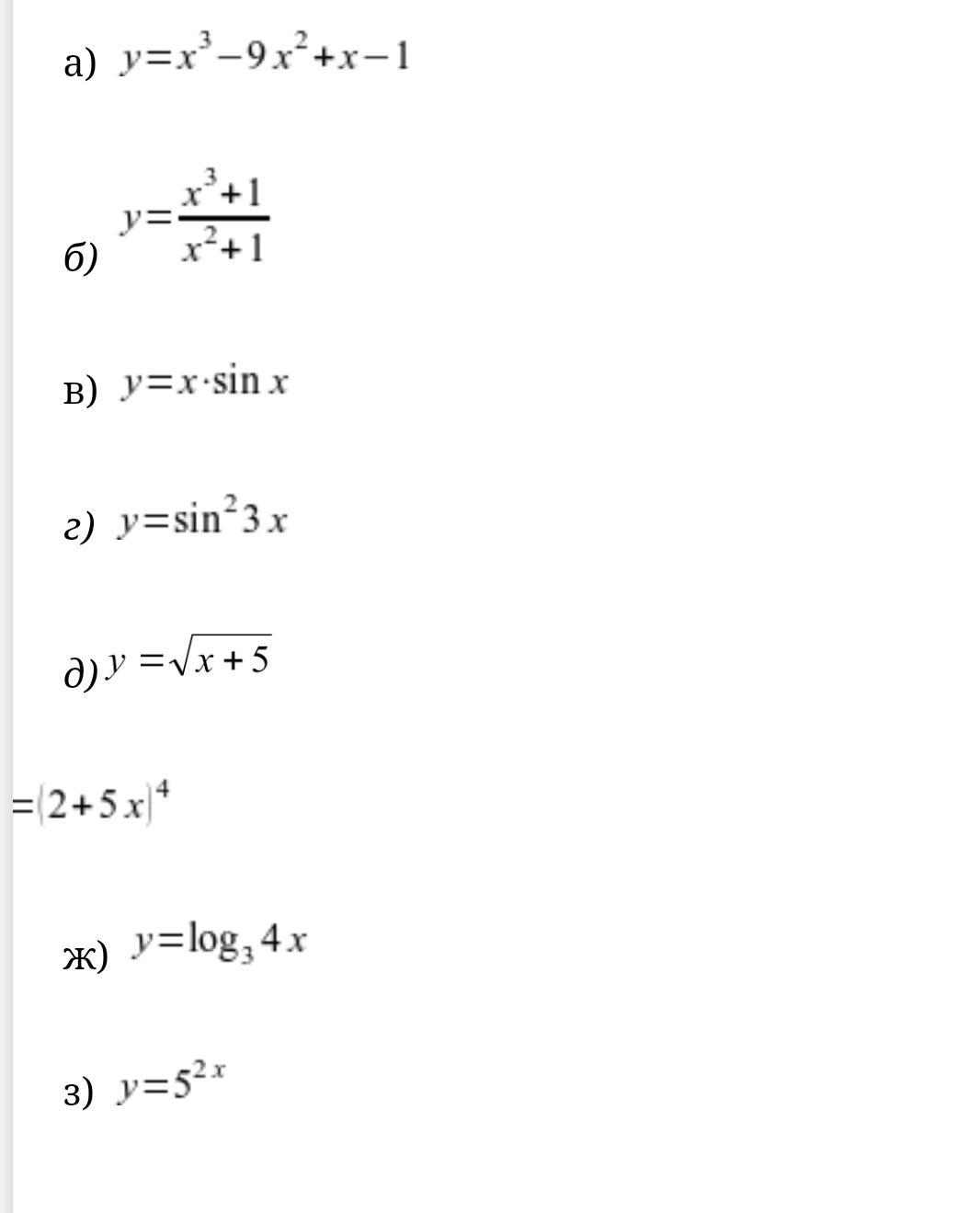
Пользуясь формулами и правилами дифференцирования найти производные

Приложения:

Ответа на этот вопрос пока нет. Попробуйте найти его через форму поиска.

Вас заинтересует