Ответы
Ответ дал:
0
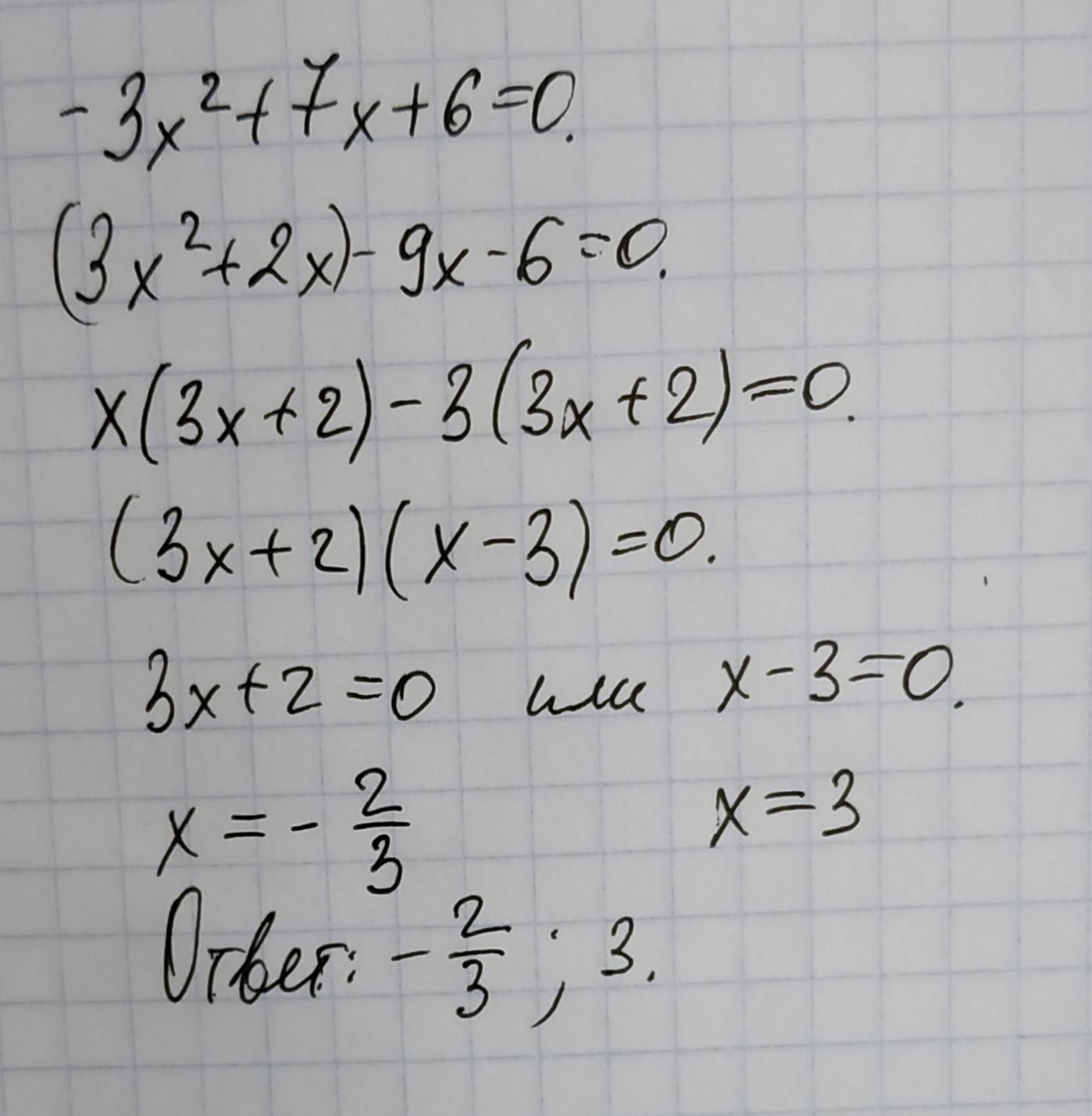
Решение во вложении. Надеюсь, всё предельно понятно)
Приложения:

Ответ дал:
0
Любое квадратное уравнение имеет 2 корня
ax^2 + bx + c = 0
D = b^2 - 4ac
x12 = (-b +- √D)/2a
------
-3х^2 + 7x+6=0
D = 7^2 - 4*(-3)*6 = 49 + 72 = 121 = 11^2
x12 = (-7 +- 11)/2*(-3) = 3 -2/3
Ответ два действительных корня -2/3 и 3
Приложения:

Вас заинтересует
2 года назад
3 года назад
8 лет назад
8 лет назад
9 лет назад