• Предмет: Алгебра
  • Автор: soskababygirl
  • Вопрос задан 8 лет назад

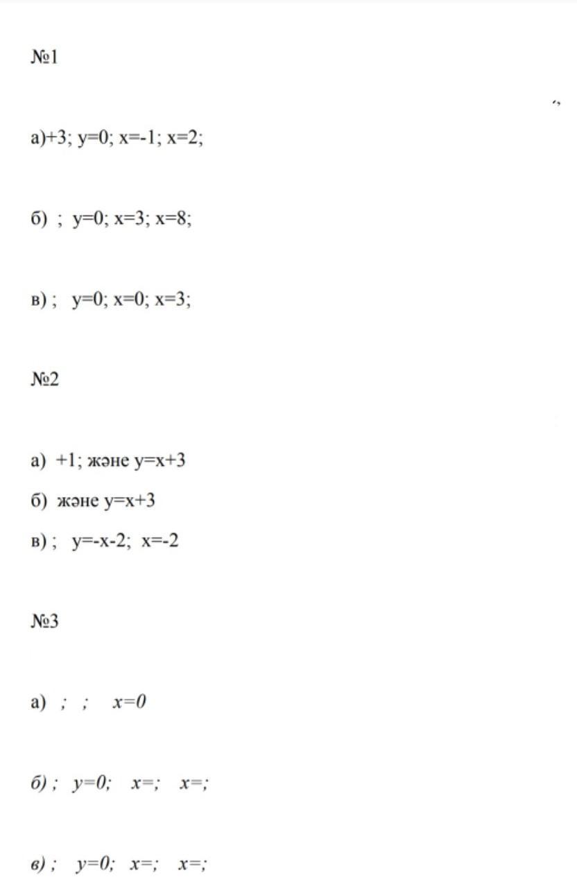
найдите площадь фигуры, ограниченной линиями
№1,№2,№3
*Және-это на русском будет И
Например:
№2
а)+1; и y=x+3 ​

Приложения:

Ответы

Ответ дал: andriikosovic
0

Ответ:

думаїте самі своєв головов

Вас заинтересует