• Предмет: Алгебра
  • Автор: dd820138
  • Вопрос задан 8 лет назад

Срочно!!! Нужна ваша помощь!!!!

Приложения:

Ответы

Ответ дал: alina92094
0

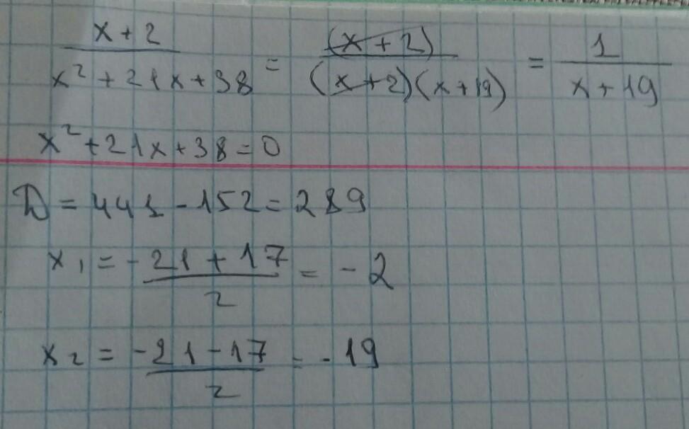
Ответ: frac{1}{x + 19}

Решение на фотографии

Приложения:
Вас заинтересует