• Предмет: Алгебра
  • Автор: Mooon23
  • Вопрос задан 8 лет назад

4x^3 - x > 0 Решите неравенство пожалуйста

Ответы

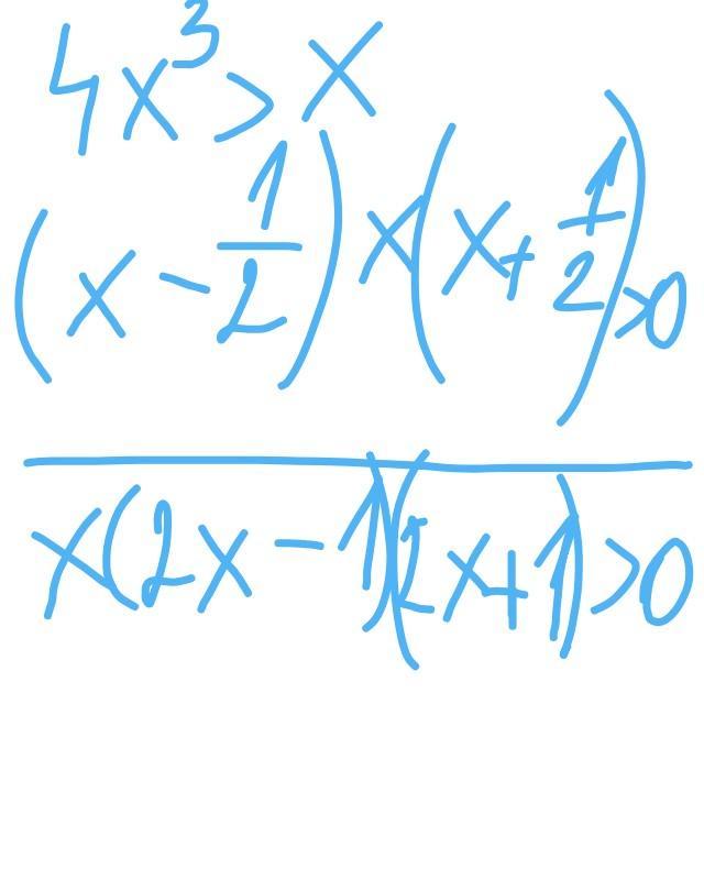
Ответ дал: nastyan0620
0

Объяснение:

надеюсь понятно,если нет то спрашивай❤️

Приложения:
Ответ дал: cyfra17
0

Ответ:

Объяснение:

4x³ - x > 0

x(4x²-x)> 0

4x(x²-1/4)>0

4x(x-1/2(x+1/2)>0

x=0   ,x=1/2   , x=-1/2

  -         +         -         +

-------o--------o-------o------- >

     -1/2        0        1/2

x e (-1/2;0)U1/2+∞)

Приложения:
Вас заинтересует