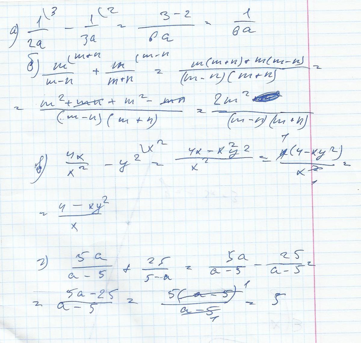
Помогите, пожалуйста! Выполните действия: а) 1/ 2а - 1/ 3а б) m/ m-n + m/ m+n в) 4х/ х в квадрате - у в квадрате г) 5а/ а-5 + 25/ 5-а
Ответы
Ответ дал:
0
1/2а-1/3а=3а-2а/6=1/6а
m/m-n+m/m+n=m(m+n)+m(m-n)/(m-n)(m+n)=2mn/(m-n)(m+n)
4x/x^2-y^2=4x-x^2y^2/x^2=4-xy^2/x
5a/a-5+25/5-a=5a/a-5-25/a-5=5(a-5)/a-5=5
m/m-n+m/m+n=m(m+n)+m(m-n)/(m-n)(m+n)=2mn/(m-n)(m+n)
4x/x^2-y^2=4x-x^2y^2/x^2=4-xy^2/x
5a/a-5+25/5-a=5a/a-5-25/a-5=5(a-5)/a-5=5
Ответ дал:
0
Вот правильное решение.
Приложения:

Ответ дал:
0
Спасибо большое!)
Вас заинтересует
2 года назад
8 лет назад
8 лет назад
10 лет назад
10 лет назад
10 лет назад