• Предмет: Математика
  • Автор: tsoyyuliya1986
  • Вопрос задан 8 лет назад

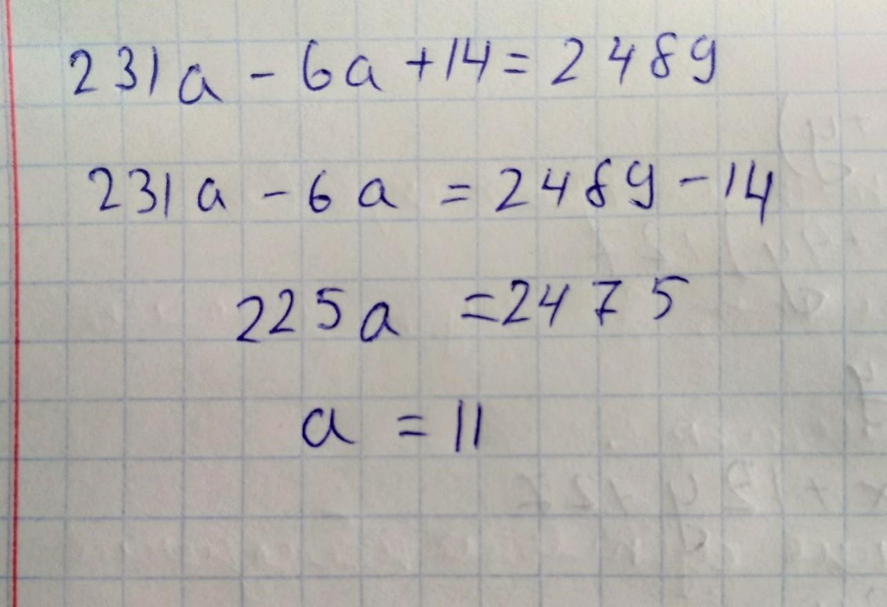
231а -6а+14=2489 пжжж решите даю 15​

Ответы

Ответ дал: WSVR
0

Решение на фотографии!!!!

Приложения:
Ответ дал: lizawilkam
0

Ответ:

а=15

Пошаговое объяснение:

ответ в фото.Пожалуйста отметь мой ответ как лучший

Приложения:
Вас заинтересует