• Предмет: Алгебра
  • Автор: odtshandra
  • Вопрос задан 8 лет назад

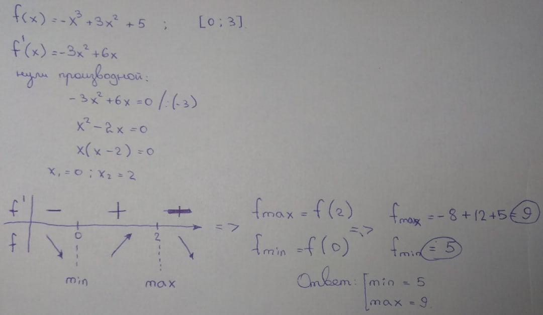
Найдите большее и меньшее значения функции f(x) = -x^3 + 3x^2 + 5 на отрезке [0;3]

Ответы

Ответ дал: 666BlackDragon666
0

Ответ:

min = 5 ; max = 9

Объяснение:

Приложения:
Вас заинтересует