Область следующих функций:
1. Рассчитать домен следующих функций:
a) f(x) = ln (x + 2)
b) g(x) =
x + 3
x + 4
2 .Написать как кусочную функцию
f(x) = |x
2 − 4|
3. Рассчитайте следующие лимиты: (1 фотография ниже)
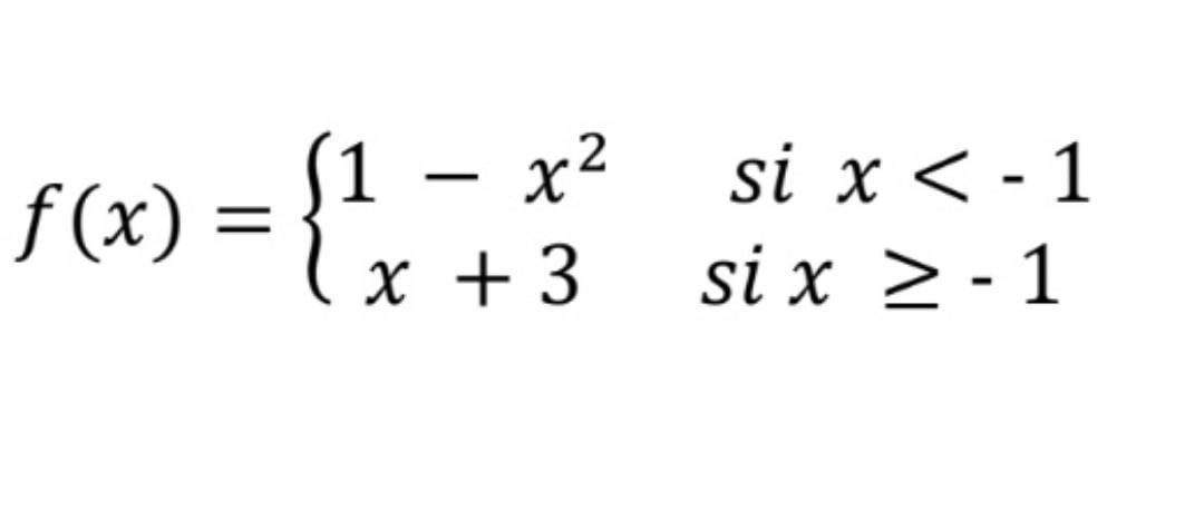
4. Рассчитать предел при х = -1 и при х = 0 функции (2 фотография)
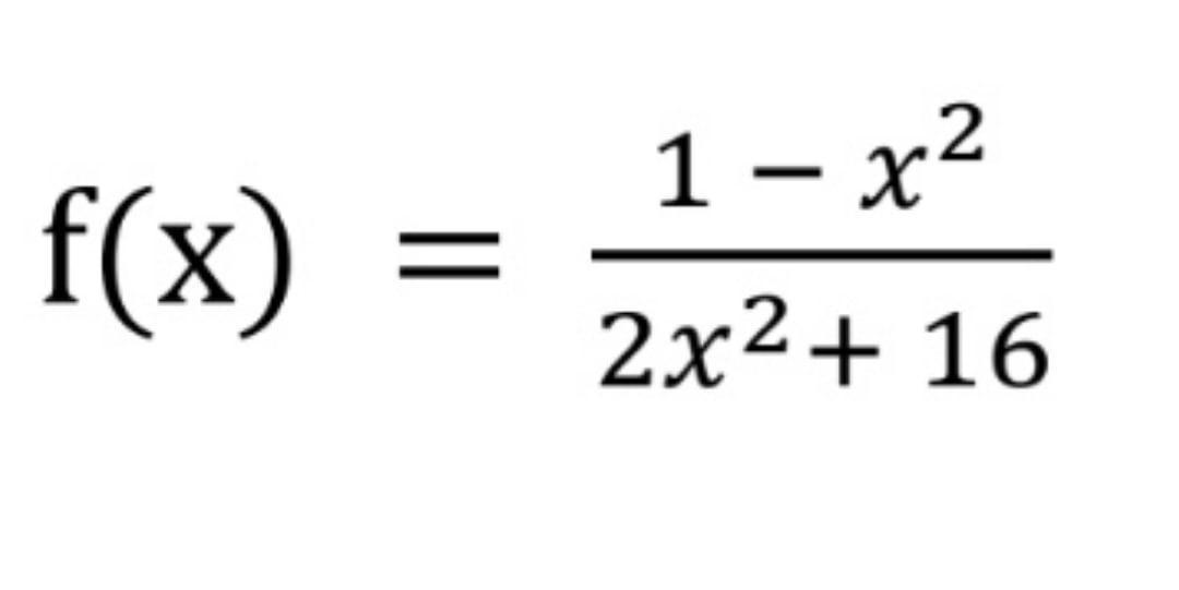
5. Найдите асимптоты из: (3 фотография)
Приложения:
Ответа на этот вопрос пока нет. Попробуйте найти его через форму поиска.
Вас заинтересует
2 года назад
2 года назад
3 года назад
3 года назад
9 лет назад
10 лет назад
10 лет назад