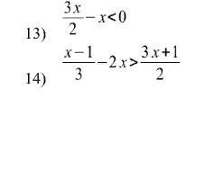
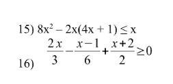
ПОМОГИТЕ СРОЧНО УМОЛЯЮ, ПОЖАЛУЙСТА! Решить неравенства на числовой прямой и записать ответ с помощью обозначений:
Приложения:
                     
                             
                            Ответа на этот вопрос пока нет. Попробуйте найти его через форму поиска.
Вас заинтересует
                
                        2 года назад
                    
                
                        2 года назад
                    
                
                        3 года назад
                    
                
                        3 года назад
                    
                
                        8 лет назад
                    
                
                        9 лет назад