• Предмет: Алгебра
  • Автор: 12345Cat12345
  • Вопрос задан 8 лет назад

Преобразуйте в дробь выражение(помогите хотя бы с одним)

Приложения:

Ответы

Ответ дал: victorlukash3214
0

Ответ:

Объяснение:

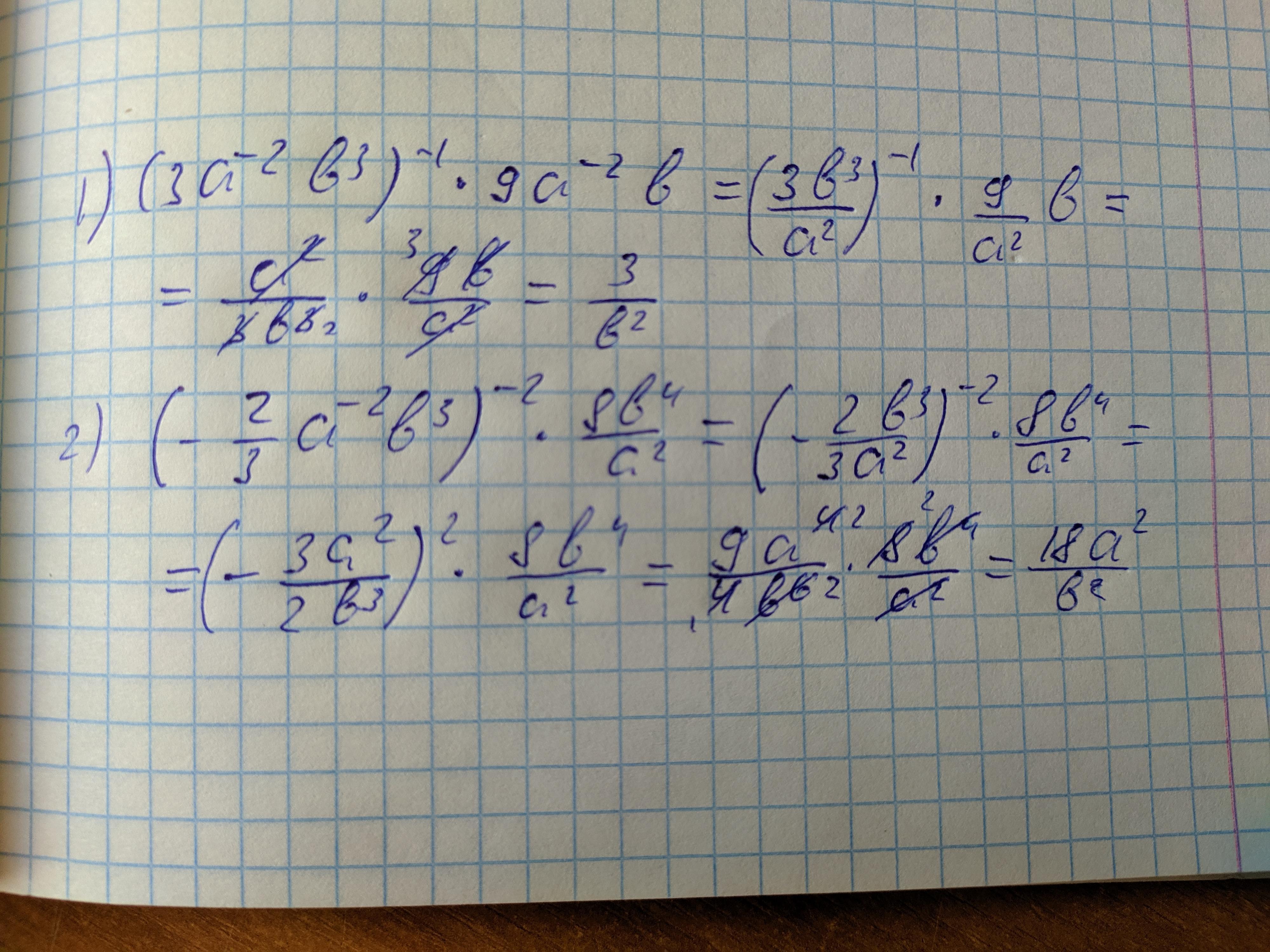
ответ дан на фото

Приложения:
Ответ дал: drakerton
0

Ответ:

a) (3a^{-2}b^3)^{-1} cdot 9a^{-2}b = frac{9a^{-2}b}{3a^{-2}b^3} = frac{3b}{b^3} = frac{3}{b^2}

b) (-frac 23a^{-2}b^3)^{-2} cdot frac{8b^4}{a^2} = frac{8b^4}{(-frac 23a^{-2}b^3)^2cdot a^2} = frac{8b^4}{frac{4}{9}a^{-4}b^6cdot a^2} = frac{9cdot8b^4}{4a^{-4}b^6cdot a^2} = frac{18}{a^{-2}b^2} = frac{18a^2}{b^2}

Приложения:
Вас заинтересует