• Предмет: Алгебра
  • Автор: mishenka31
  • Вопрос задан 8 лет назад

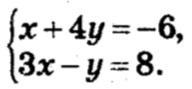
решите методом подстановки систему уравнений

Приложения:

Ответы

Ответ дал: Xonda7777
0

Ответ:

x=2,y=-2

Объяснение:

x=-6-4y

3*(-6-4y) -y=8

-18-12y-y=8

-13y=36

y=-2

x=-6-4*(-2)=-6+8=2

Вас заинтересует