Помогите пожалуйста! Решите линейне урав. Способом сложения. дам 20 баллов
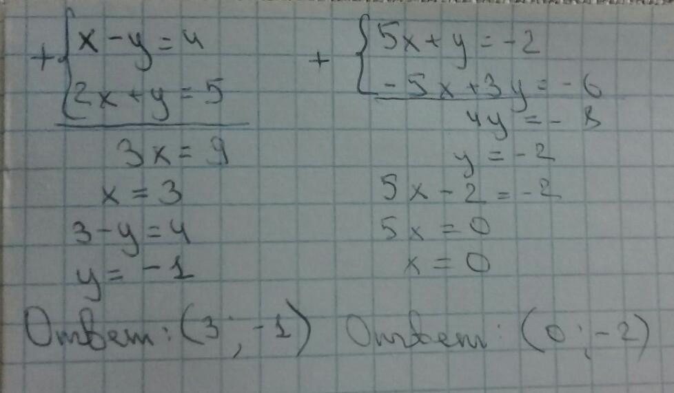
{х-у=4
2х+у=5
{5х+у=-2
-5х+3у=-6
Ответы
Ответ дал:
0
Ответ: Х=3; У=-2.
Пошаговое объяснение: Объяснение увидишь в ссылке (см. ниже)
https://znanija.com/task/36253764
Ответ дал:
0
Ответ:
Решение на фотографии.
Проверила с помощью приложения, всё верно. В ответе выше другого человека ошибка
Приложения:

Ответ дал:
0
спасибо большое
Вас заинтересует
2 года назад
2 года назад
3 года назад
8 лет назад
8 лет назад