Ответы
Ответ дал:
0
Ответ:
Б
Пошаговое объяснение:
Приложения:

Ответ дал:
0
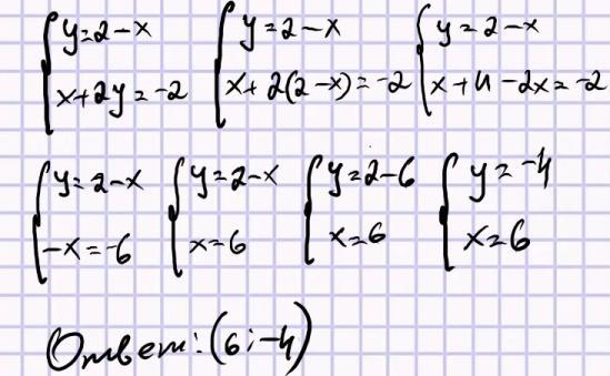
я вже забула як правильно розписувати але відповідь (6;-4)
Приложения:

Вас заинтересует
2 года назад
2 года назад
3 года назад
8 лет назад