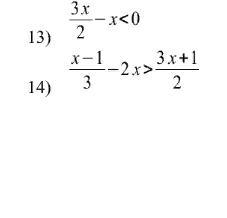
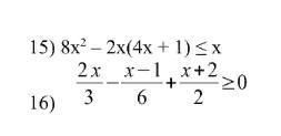
Люди добрые, умоляю вас, помогите эта алгебра меня скоро в могилу сведёт, Решить неравенства на числовой прямой и записать ответ с помощью обозначений:
Приложения:


Ответы
Ответ дал:
0
Ответ:
Объяснение:
Вас заинтересует
2 года назад
3 года назад
3 года назад
8 лет назад
8 лет назад
9 лет назад