Ответы
Ответ дал:
0
Объяснение:
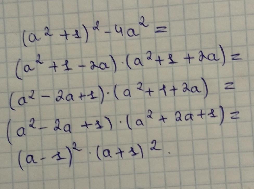
а²-2аb+b²=(a-b)²
a²+2ab+b²=(a+b)²
Это формула
Приложения:

Ответ дал:
0
не за что
Ответ дал:
0
Друзья пожалуйста отметьте как Лучший ответ
Вас заинтересует
2 года назад
2 года назад
3 года назад
8 лет назад
8 лет назад
9 лет назад