• Предмет: Математика
  • Автор: ArtemijZavodskoy
  • Вопрос задан 8 лет назад

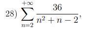
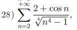
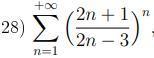
Мат.анализ 2. Використовуючи необхідну умову збіжності рякду, довести, що заданий ряд є збіжним. 3. Знайти суму числового ряду 4. Дослідити на збіжність ряд за допомогою ознаки порівняння. 5. Дослідити на збіжність ряд (Картиночки по очереди)

Приложения:

Ответа на этот вопрос пока нет. Попробуйте найти его через форму поиска.

Вас заинтересует