• Предмет: Математика
  • Автор: arbuzovdenis903
  • Вопрос задан 8 лет назад

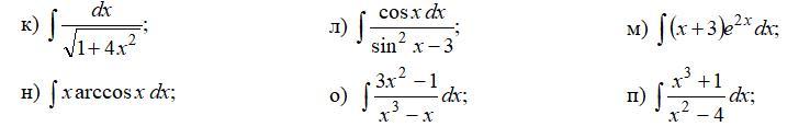
Пошагово решить м, о, п

Приложения:

Ответа на этот вопрос пока нет. Попробуйте найти его через форму поиска.

Вас заинтересует