Ответы
Ответ дал:
0
Ответ:на фото
Пошаговое объяснение:
На фото
Приложения:

Ответ дал:
0
Ответ:
Пошаговое объяснение:
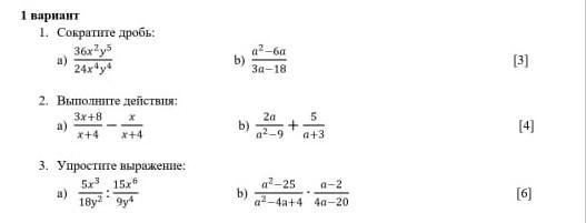
1,
а)
При делении одного и того же числа, но в разной степени (как х и у) степени отнимаются.
б)
Выносим за скобку, что бы получить одинаковые множетили и сокращаем.
2,
а)
Так, как знаменатили одинаковые, просто вычетаем
б)
По формуле сокращенного умножения разложили первый знаменатель, домножили вторую дробь. В конце возвращаем знаменатель по той же формуле.
3,
а)
При дилении вторая дробь переворачивается и деление меняется на умножение.
б)
Используем формулы сокращенного умножения и выносим число за скобку.
Приложения:

Вас заинтересует
2 года назад
2 года назад
3 года назад
3 года назад
8 лет назад
8 лет назад