Ответы
Ответ дал:
0
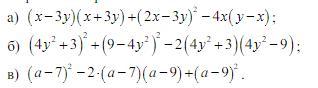
А)х^2-9у^2+(2х-3у)^2-4х(у-х)=х^2-9у^2+4х^2-12ху+9у^2-4ху+4х^2=9х^2-16ху;
Б)(4у^2+3)^2+(9-4у^2)^2+2(4у^2+3)(9-4у^2)=(4у^2+3+9-4у^2)^2=12^2=144
В)(а-7-(а-9))^2=(а-7-а+9)^2=2^2=4
Б)(4у^2+3)^2+(9-4у^2)^2+2(4у^2+3)(9-4у^2)=(4у^2+3+9-4у^2)^2=12^2=144
В)(а-7-(а-9))^2=(а-7-а+9)^2=2^2=4
Ответ дал:
0
Прошу прощения, в каком букве?
Вас заинтересует
2 года назад
2 года назад
3 года назад
3 года назад
9 лет назад
9 лет назад
10 лет назад