• Предмет: Экономика
  • Автор: millennium2O2
  • Вопрос задан 8 лет назад

Решите пожалуйста задачи с экономики
Формулы прилагаються
40 баллов

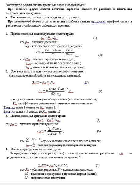
Приложения:

Ответа на этот вопрос пока нет. Попробуйте найти его через форму поиска.

Вас заинтересует