• Предмет: Экономика
  • Автор: millennium2O2
  • Вопрос задан 8 лет назад

Решите пожалуйста задачи с экономики очень нужно был бы очень благодраен
40 баллов
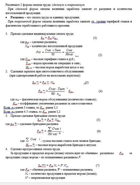
Формулы прилагаються

Приложения:

Ответа на этот вопрос пока нет. Попробуйте найти его через форму поиска.

Вас заинтересует