• Предмет: Экономика
  • Автор: millennium2O2
  • Вопрос задан 8 лет назад

Сделайте пожалуйста задачи очень прошу
45 баллов
Экономика
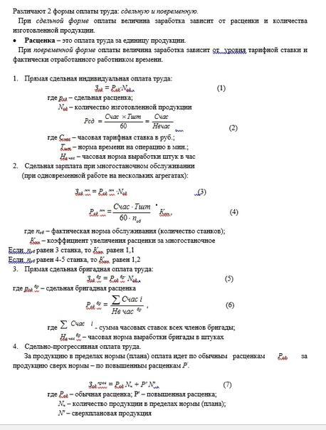
Формулы прилагаються

Приложения:

Ответа на этот вопрос пока нет. Попробуйте найти его через форму поиска.

Вас заинтересует