• Предмет: Математика
  • Автор: damir198710031999
  • Вопрос задан 8 лет назад

Здравствуйте помогите решить!
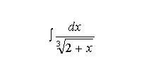
Решить неопределенный интеграл.

Приложения:

Ответа на этот вопрос пока нет. Попробуйте найти его через форму поиска.

Вас заинтересует