Ответы
Ответ дал:
0
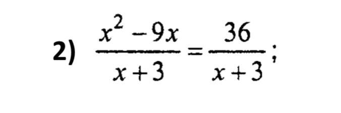
Ответ:
12
Объяснение:
12
Ответ дал:
0
В прикреплённом изображении
Приложения:

Вас заинтересует
2 года назад
3 года назад
3 года назад
8 лет назад