• Предмет: Математика
  • Автор: ArtemijZavodskoy
  • Вопрос задан 8 лет назад

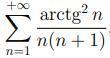
Мат анализ Срочно) Дослідити на збіжність ряд за допомогою ознаки порівняння

Приложения:

Ответа на этот вопрос пока нет. Попробуйте найти его через форму поиска.

Вас заинтересует