• Предмет: Математика
  • Автор: anela5577
  • Вопрос задан 8 лет назад

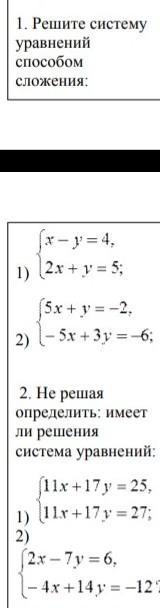
ХЕЛППомогите пожалуйста пожалуйста пожалуйста пожалуйста ​

Приложения:

Ответа на этот вопрос пока нет. Попробуйте найти его через форму поиска.

Вас заинтересует