• Предмет: Математика
  • Автор: ob9zana
  • Вопрос задан 8 лет назад

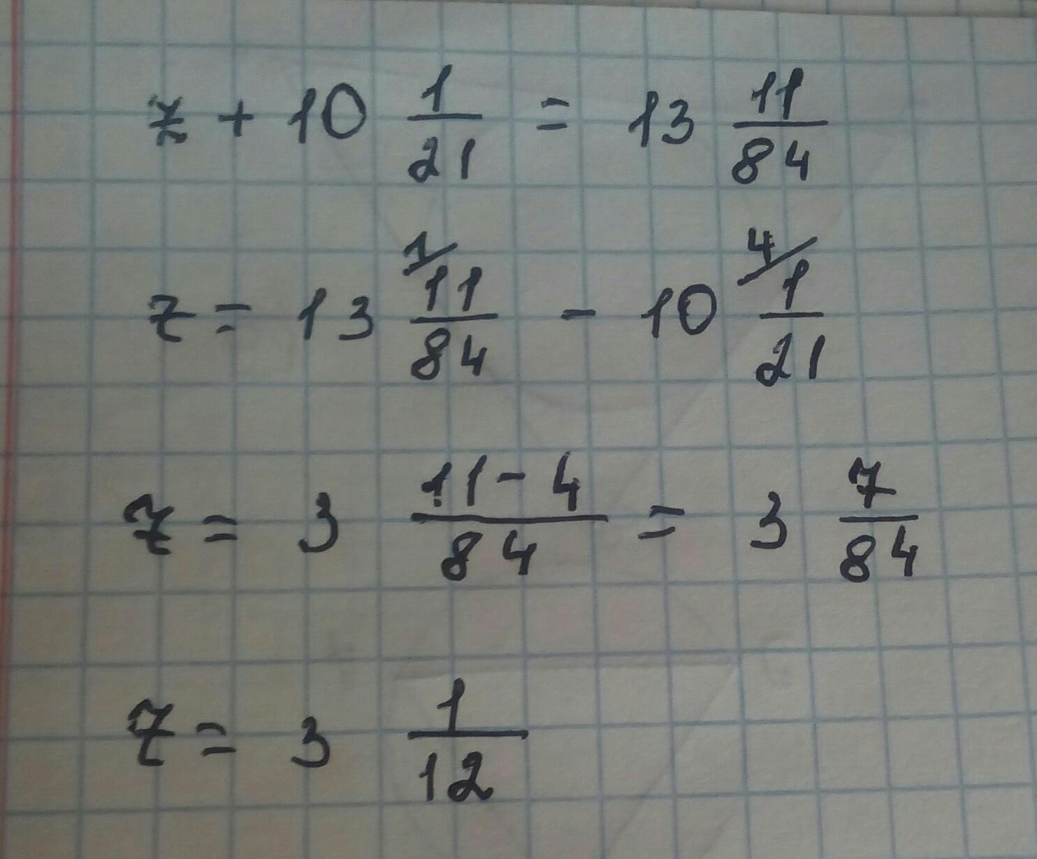
Вычисли неизвестное слагаемое z + 10 1/21=13 11/84.
Дам 20 баллов

Ответы

Ответ дал: tatsach
0

Ответ:

Пошаговое объяснение:

z + 10 1/21=13 11/84.

z=13 11/84.-10 1/21

Z=13 11/84-10 4/84

Z=3 7/84=3 1/12

Ответ дал: ob9zana
0
Дробь сокращенна?
Ответ дал: dasha414175
0
дa
Ответ дал: dasha414175
0

Ответ:

...................

Приложения:
Вас заинтересует