• Предмет: Алгебра
  • Автор: vovakuzma00
  • Вопрос задан 8 лет назад

помогите пожалуйста очень путаюсь в этой теме

Приложения:

Ответы

Ответ дал: kokikop
0

Ответ:

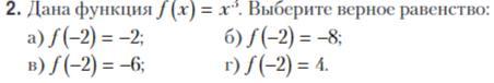
ответ б

Объяснение:

...............

Вас заинтересует