• Предмет: Алгебра
  • Автор: ignatenko123653
  • Вопрос задан 8 лет назад

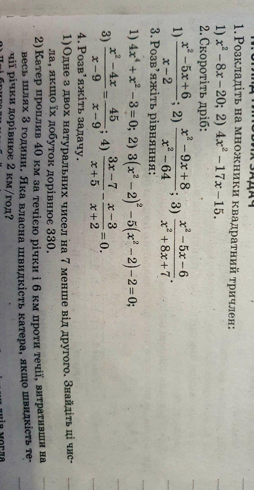
Любое пожалуйста прошу 20б

Приложения:

Ответа на этот вопрос пока нет. Попробуйте найти его через форму поиска.

Вас заинтересует