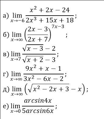
Решить пределы
а) lim →−6
(2 + 2 − 24)/(23 + 15 + 18)
б) lim →∞
(2 − 3)/(2 + 7 )^7x-3
в)lim →7
(√ − 3 − 2)/(√ + 2 − 3)
г) lim →∞
(92 + − 1)/(32 − 6 − 2)
д) lim →∞
(√2 − 2 + 3 − )
е) lim →0
arcsin4x / 5arcsin6x
Приложения:

Ответа на этот вопрос пока нет. Попробуйте найти его через форму поиска.
Вас заинтересует
2 года назад
3 года назад
9 лет назад