Ответы
Ответ дал:
0
Ответ: 2; 1,5.
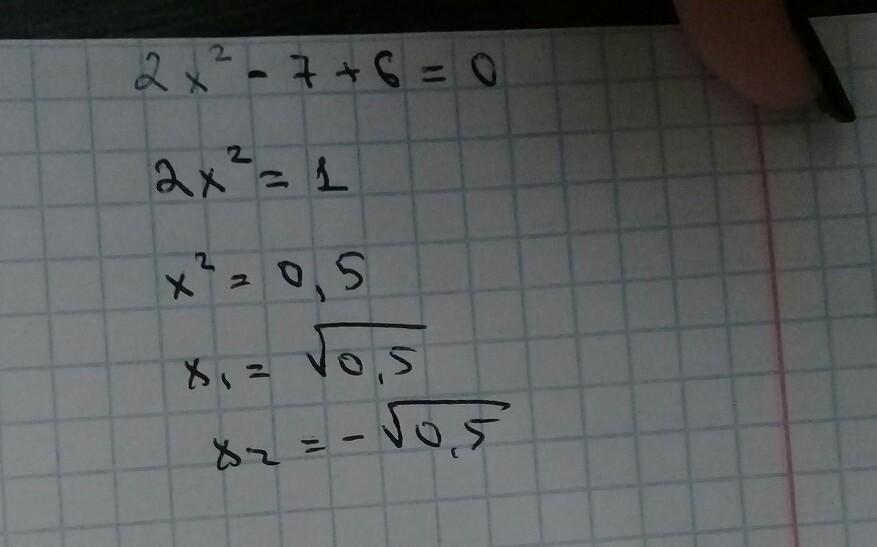
Я так поняла, что это квадратное уравнение, его решение на 1 фото. В таком случае ты пропустила х.
Решение на 2 фото- если ты не пропустила х
Приложения:


Вас заинтересует
2 года назад
3 года назад
3 года назад