• Предмет: Алгебра
  • Автор: annakrupa2002a
  • Вопрос задан 8 лет назад

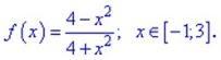
Визначити найбільше значення фунції на проміжку

Приложения:

Ответы

Ответ дал: postoutenko30
0

Ответ:

При x=-1:

y=4-1/4+1

у=3/8

у=0,375

При х=3:

у=4-9/4+9

у=-13/13

у=-1

0,375 больше -1

Наибольшее значение функция набывает при х=-1

Объяснение:

Вас заинтересует