• Предмет: Математика
  • Автор: lisssophia2323
  • Вопрос задан 8 лет назад

помогите, пожалуйста))

Приложения:

Ответы

Ответ дал: bronxitfm
0

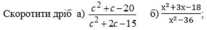
Ответ: а)  frac{c-3}{c-4}  b) frac{x-3}{x-6}

Пошаговое объясние:

a) frac{c^2+5c-4c-20}{c^2+5c-3c-15}

frac{c*(c+5)-4(c+5)}{c*(c+5)-3(c+5)}

frac{(c+5)*(c-4)}{c+5)*(c-3)}

b) frac{x^2+6x-3x-18}{(x-6)*(x+6)}

frac{x*(x+6)-(x+6)}{(x-6)*(x+6)}

frac{(x+6)*(x-3)}{(x-6)*(x+6)}

Вас заинтересует