• Предмет: Математика
  • Автор: 16k9a
  • Вопрос задан 8 лет назад

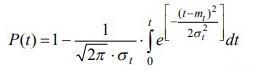
Решите пример!
m = 10 000
σ = 2 000
t = 5 000

Приложения:

Ответа на этот вопрос пока нет. Попробуйте найти его через форму поиска.

Вас заинтересует