Ответы
Ответ дал:
0
Ответ: :)
Объяснение:
Приложения:

Ответ дал:
0
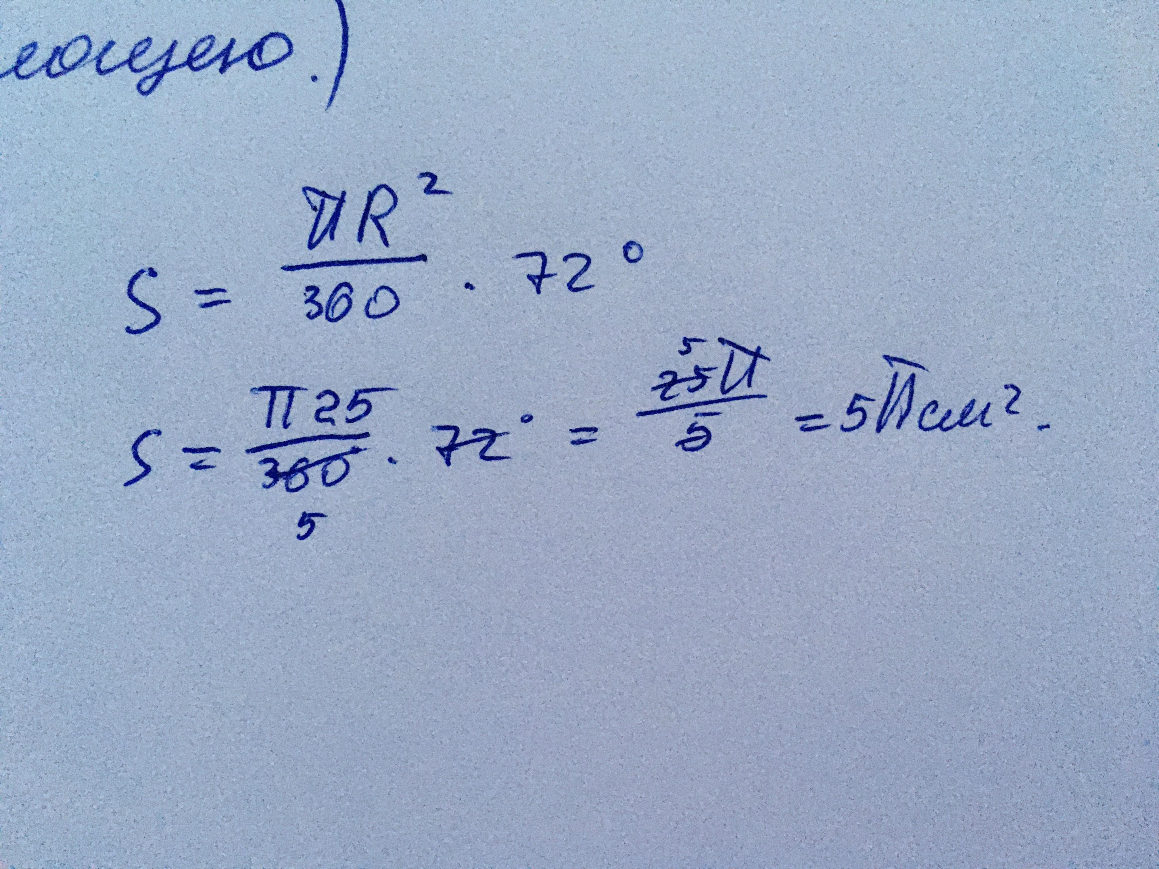
S= ПR^2/360 × градус дуги
R=5см <=72°
Представляем в формулу:
(3.14 × 5^2/360) * 72= 15.7см^2
Приложения:

Вас заинтересует
2 года назад
2 года назад
3 года назад
3 года назад
8 лет назад
8 лет назад
9 лет назад