Решите самостоятельную работу 6 класс ДАЮ 100 БАЛЛОВ
1.Реши уравнение, используя основное свойство пропорции (если a/b=c/d, то a⋅d=b⋅c):
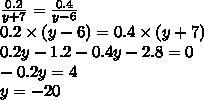
0,2/y+7=0,4/y−6
2.Реши уравнение:
7⋅(8+x)−5x=3x−60. 3.Автобус и грузовая машина, скорость которой на 15 км/ч больше скорости автобуса, выехали одновременно навстречу друг другу из двух городов, расстояние между которыми — 596 км. Определи скорости автобуса и грузовой машины, если известно, что они встретились через 4 ч. после выезда.
Ответ:
скорость автобуса — ?
км/ч;
скорость грузовой машины — ?
км/ч.
На одной автостоянке было в 4 раз(-а) меньше машин, чем на другой. Когда со второй стоянки на первую перевели 24 автомобилей(-я), машин на стоянках стало поровну. Какое количество машин было на каждой стоянке первоначально?
Ответ:
на первой стоянке первоначально машин было ?
;
на второй стоянке первоначально машин было ?
5.У двух братьев поровну орехов. Если старший брат отдаст младшему 18 орехов, то орехов у него станет в 7 раз(-а) меньше, чем у младшего. Сколько орехов у каждого брата было первоначально?
Ответ: у каждого брата орехов было первоначально по ?
шт.
6. В пакете лежат мандарины. Если раздавать их детям по 5 мандаринов каждому, то не хватит 4 мандаринов, а если раздать по 4 мандарина, то в пакете ещё останется 19 мандаринов. Сколько мандаринов в пакете?
Ответ: мандаринов в пакете ?
шт.
Ответы
Ответ дал:
0
1 задание :
на фотографии
2 задание:
63+7x-5x=3x-60
63+60=3x+5x-7x
123=x
3 задание:
455:2.6=175
х+(х+15)=175
х+х+15=175
2з=175-15
2х=160
х=160:2
х=80 км/ч автобуса
80+15=95 км/ч грузовика
4 задание:
4х-12=х+12
4х-х=12+12
3х=24
х=24:3
х=8 первой стоянке
8*4=32 второй стоянке
5 задание:
х + 18 = 7(х - 18)
х + 18 = 7х - 126
18 + 126 = 7х - х
144 = 6х
х = 144/6
х = 24
у каждого из братьев было 24 ореха.
6 задание:
5х-4=4х+18
5х-4х=18+4
х=22
22*4+18=106
мандаринов в пакете 106
шт.
Приложения:

Ответ дал:
0
удачи вам на контрольной
Ответ дал:
0
правильно только 1 и 5
Ответ дал:
0
нет всё правильно я уверена
Вас заинтересует
2 года назад
2 года назад
3 года назад
3 года назад
8 лет назад
8 лет назад